中华人民共和国中央人民政府
吉林省人民政府
通化市人民政府
通化市生态环境局
Tonghua City Ecological Environment Bureau
首页
机构设置
相关下载
联系方式
法律法规
当前位置: 首页>>通化市生态环境局专题>>环保动态
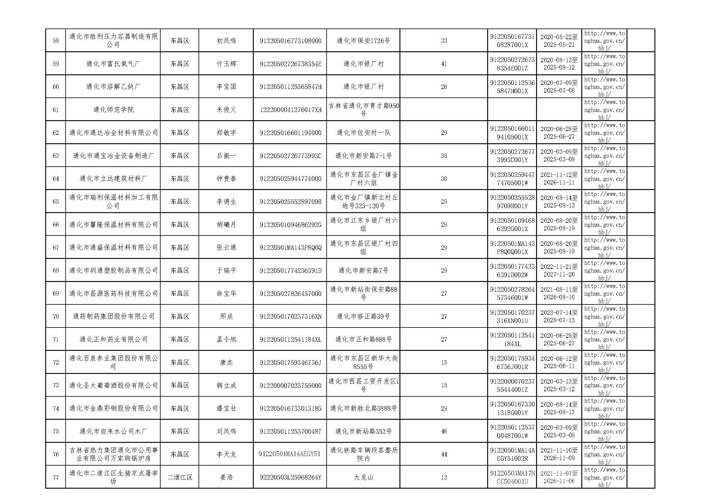
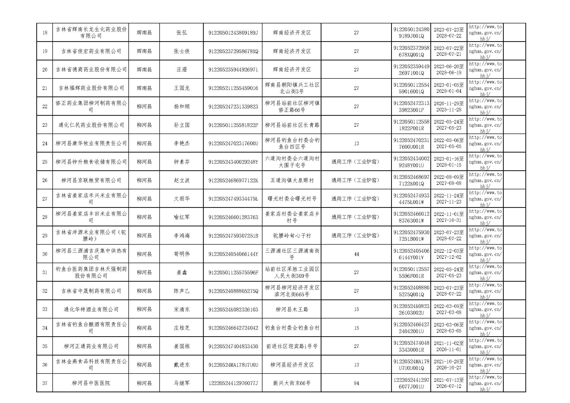
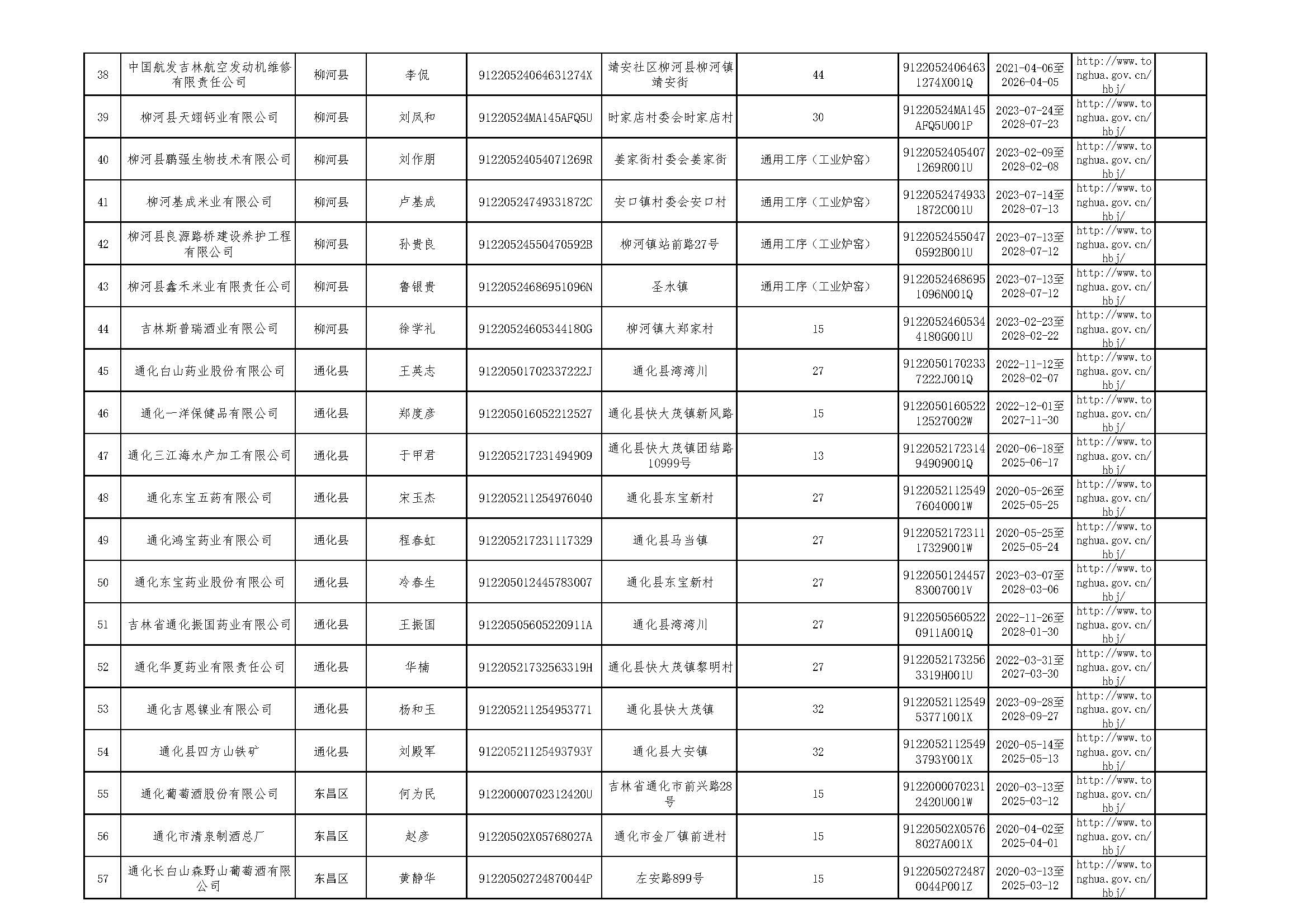
2023(通化地区)生态环境监督执法正面清单企业名册
时间:2023-12-07 来源:
( 初审: 复审: 终审:)